2026 공무원 봉급표 2026 교사 호봉표 2026 군인 월급
2026년 보수 체계는 7월 정부안 발표를 거쳐 11월 7일 현재 기준으로 예산안 심의 중이며, 최종 수치는 2026년 1월 초 공무원 보수규정 개정 공포로 확정됩니다. 올 해 7월 정부안의 핵심은 기본급 3.5% 인상과 저연차 처우 개선, 일부 정액수당 조정입니다. 공무원은 직군별·직급별 봉급표가 별표로 규정되어 있고, 경찰·소방, 군인, 교원은 각각의 전용 봉급표가 별도 운영됩니다. 따라서 11월 시점에서는 정부안 기준 수치를 이해하고, 1월 개정 고시 이후 확정표로 교체하는 실무가 필요합니다.

본 글은 3.5% 2026 공무원 봉급 인상률과 2026년형 봉급표 구조를 전제로 일반직, 경찰·소방, 군인, 교원 보수를 한 번에 정리하고, 실수령액 산정과 연간 예산 반영 팁까지 실무 중심으로 안내합니다.
내년 2026 공무원 봉급 인상률: 2026년 공무원 봉급인상률 3.5%
2026년 기본급은 전 직급·전 호봉 공통 3.5% 인상으로 편성되었습니다. 2026 공무원 봉급 인상률은 2017년 이후 최대 인상률이며 최근 민간 대비 격차 확대, 물가·최저임금 흐름 등이 고려되었습니다.



저연차(근속 5년 이하) 구간은 누적 처우 개선을 위해 기본 인상률에 추가 가점이 더해져 체감 인상률이 더 높아지는 구조로 설계됩니다. 정액수당은 급식비 인상, 시간외근무수당 감액조정률 상향 등 일부 조정이 포함됩니다. 다만 다음 사항을 반드시 체크해야 합니다.
- 확정 시점: 2026년 1월 초 보수규정 개정 공포 시 최종 확정
- 소급지급: 확정 고시가 1월 중 이뤄질 경우 1월분 급여는 소급 정산 처리
- 개인 체감: 동일 직급·호봉이라도 근무지·가족·시간외·특수근무 등 수당 차이로 실수령액은 달라짐
- 인사 이벤트: 승진·승급·전보월에는 봉급표 반영과 수당 기준일 차이로 월별 편차 발생 가능



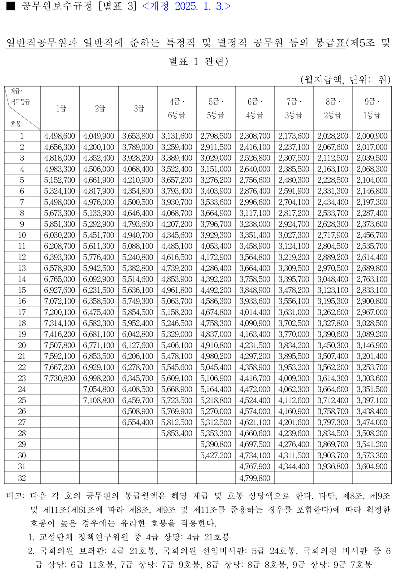
2026 공무원 봉급표(일반직렬)
2026년 일반직 및 일반직에 준하는 특정·별정의 봉급표는 3.5% 인상률을 반영한 구간상승 형태입니다. 호봉은 계급별 최대 20~32호봉까지 단계화되어 있고, 승급은 통상 1년 주기(근무성적·경력 반영)로 이뤄집니다.

실무에서 자주 조회되는 기준값을 묶어 보겠습니다.
- - 1급 1호봉: 4,656,100
- - 1급 15호봉: 7,170,100
- - 2급 1호봉: 4,191,600
- - 2급 23호봉: 7,243,100
- - 3급 1호봉: 3,781,700
- - 3급 23호봉: 6,567,800
- - 4급 1호봉: 3,241,200
- - 4급 23호봉: 5,805,400
- - 5급 1호봉: 2,896,400
- - 5급 30호봉: 5,617,200
- - 6급 1호봉: 2,389,500
- - 6급 31호봉: 4,934,800
- - 7급 1호봉: 2,249,700
- - 7급 32호봉: 4,967,800
- - 8급 1호봉: 2,099,200
- - 8급 30호봉: 4,040,300
- - 9급 1호봉: 2,070,900
- - 9급 31호봉: 3,731,100
위 숫자는 월봉급(원) 기준이며 각 호봉별 누계는 봉급표 열람이 필요합니다. 인사담당 또는 당사자는 다음 체크리스트를 함께 보셔야 합니다.
- 호봉획정: 신규 임용 시 경력환산을 반영하며 규정 제8조·제9조·제11조 적용 시 유리한 호봉 인정 원칙
- 승급일자: 해당월 1일 기준 반영 여부에 따라 당월·익월 급여 영향
- 수당구성: 정액급식비, 직급보조비, 가족수당, 정근수당, 특수지근무수당, 시간외근무수당, 명절휴가비 등
- 시간외 기준: 시간외단가는 기본급에 연동되며 감액조정률 상향 시 실수령 개선 효과
- 정근·성과: 정근수당, 성과상여금은 지급시기와 기준연도 성과에 따라 차등



실무 예시 - 9급 1호봉 신규자의 월 급여 추정
- 기본급: 2,070,900
- 정액급식비: 160,000(인상 반영 가정)
- 직급보조비: 9급 기준 지급액
- 가족수당: 배우자·부양자녀 유무에 따라 0 또는 가산
- 시간외: 부서별 편차, 월 10시간 가정 시 시간외단가×10
- 세금·4대보험: 건강보험·장기요양·연금·소득세·지방소득세 공제 합산
- 결과: 부양가족이 없고 시간외가 적은 경우 실수령은 기본급 대비 75~85% 범위에서 형성

유념할 포인트 - 연간 예산 편성
- 1월 확정 전까지는 정부안 기반 추정액으로 편성, 1월 확정 후 보정
- 인사변동률, 시간외 운영계획, 정근·성과 지급월 반영
- 복리후생 항목의 단가 인상분 포함 여부 재확인

2026 경찰, 소방 공무원 봉급표
경찰·소방은 지휘-간부-실무 계선에 따라 봉급 구조가 다층적입니다. 주요 시작 호봉 기준값을 간추립니다.

- - 치안정감·소방정감 1호봉: 4,905,100
- - 치안감·소방감 1호봉: 4,563,500
- - 경무관·소방준감 1호봉: 4,167,700
- - 총경·소방정 1호봉: 3,619,000
- - 경정·소방령 1호봉: 3,126,100
- - 경감·소방경 1호봉: 2,698,600
- - 경위·소방위 1호봉: 2,434,700
- - 경사·소방장 1호봉: 2,400,200
- - 경장·소방교 1호봉: 2,150,800
- - 순경·소방사 1호봉: 2,070,900
상위 호봉으로 갈수록 구간은 완만히 상승하며, 20호봉대부터는 경력 정체구간을 감안해 장기근속 유인을 배치합니다. 경찰·소방 실수령액은 위험·특수·작전·정예근무 등 직무 특수수당과 연장근무, 야간·휴일 가산이 체감 차이를 크게 만듭니다.



실무 예시 - 순경 5호봉 근무자의 월 급여 추정
- 기본급: 2,255,000 수준(봉급표 기준)
- 정액급식비·직급보조비: 공통 단가 적용
- 위험·특수·출동수당: 근무유형별 지급
- 시간외·야간·휴일근무: 연간 패턴(치안수요)에 따라 월별 편차
- 세전-세후: 소득세 누진구간과 공제항목 반영 결과로 80% 내외 실수령 형성 가능
소방 실무 팁
- 화재출동·구조·구급·현장대응단은 특수근무·위험수당 비중이 커서 기본급 대비 수당 비율이 높음
- 교육·예방·행정 파트는 시간외 구조가 다른 만큼 팀별 평균 실수령 차이를 감안해 개인 재무계획 수립






2026 군인 봉급표
장교·준사관·부사관·하사까지의 봉급표는 계급-호봉 이원체계를 따릅니다. 주요 기준값을 요약합니다.

- - 소장 1호봉: 6,099,000
- - 준장 1호봉: 5,753,700
- - 대령 1호봉: 4,671,200
- - 중령 1호봉: 4,105,800
- - 소령 1호봉: 3,382,700
- - 대위 1호봉: 2,805,000
- - 중위 1호봉: 2,239,600
- - 소위 1호봉: 2,087,900
- - 준위 1호봉: 2,544,300
- - 원사 1호봉: 3,568,100
- - 상사 1호봉: 2,468,000
- - 중사 1호봉: 2,118,000
- - 하사 1호봉: 2,070,900
군인은 직무 특성상 특수·정예·항공·잠수·잠수함·낙하·해양·수상 등 각종 특수수당 체계가 병행되며, 작전·훈련·파견·경계 등 상황에 따라 시간외·야간·휴일 가산이 커집니다. 병(이병-일병-상병-병장)의 병영봉급은 별도 고시로 운영되며, 11월 시점에서는 1월 확정 공포 이후 금액을 반영해 안내하는 것이 안전합니다.

실무 예시 - 대위 4호봉 전투부대 보직
- 기본급: 3,185,300
- 직책·지휘·특수전·항공·잠수 여부: 부대·병과별 차등
- 숙박·이동·훈련 파견 시 일비·식비 정산
- 소득세·군인연금·건강보험·장기요양 공제
- 결과: 보병 전투여단 기준, 야간·휴일·훈련 강도가 높을수록 기본급 대비 수당 비중 확대






부사관 경력트랙 참고
- 하사 임관 1호봉 이후 4-6년차: 중사 중호봉 진입, 숙련수당·자격수당 반영
- 10년차 전후: 상사, 원사 진급 루트, 지휘·참모·교관 트랙 분기
- 기술병과: 자격·면허 수당과 정비·항공·통신 특수수당이 연평균 총보수에 큰 영향



2026 교육공무원 호봉표
유치원·초등·중등 교원 봉급표는 1호봉부터 40호봉까지 길게 열려 있으며, 장기근속 유인을 위해 고호봉 구간에서 완만한 상승을 유지합니다. 대표 구간을 추출하면 다음과 같습니다.

- - 1호봉: 1,982,100
- - 5호봉: 2,224,800
- - 10호봉: 2,471,400
- - 15호봉: 2,889,700
- - 20호봉: 3,481,000 - 25호봉: 4,129,400
- - 30호봉: 4,826,800 - 35호봉: 5,553,600
- - 40호봉: 6,205,700
기간제교원은 호봉 산정액을 지급하되 원칙적으로 고정급으로 운영하며, 시간제 기간제는 정상근무 대비 근무시간 비례 지급 규정을 적용합니다.



교원 수당 체크리스트
- 담임수당·보직수당·부장수당: 학교 조직 인사계획 반영
- 교직수당·정근수당·명절휴가비: 전년도 근무실적·재학기준 영향
- 시간외·수업지원: 공·사립 여부, 시도교육청 지침에 따른 차이
- 농어촌·도서벽지: 가산금·학력·자격수당 병행
- 연수·성과상여: 평가연도 실적 반영, 지급월 분산



실무 예시 - 중학교 교사 10호봉 담임
- 기본급: 2,471,400
- 교직수당·담임수당·부장수당: 직무 부여에 따라 가산
- 정액급식비: 단가 인상 반영
- 시간외·방과후·생활지도: 학교별 편차, 학기 중 확대
- 공제: 사학연금 또는 공무원연금, 건강보험, 장기요양, 소득세·지방세
- 결과: 담임 여부와 방과후 운영 규모가 실수령에 큰 영향



실수령액 산정 가이드 - 빠르게, 정확하게
실수령은 ‘기본급+수당-공제’로 결정됩니다. 기본 구조를 실무 단계로 나눠보면 다음과 같습니다.
- - 1단계 기본급 확정: 본인 직급-호봉 월봉급 확인
- - 2단계 고정수당 합산: 정액급식비, 직급보조비, 교직수당 등 매월 동일 지급분
- - 3단계 변동수당 추정: 시간외·야간·휴일·위험·특수·교통 등 근무패턴 반영
- - 4단계 공제 계산: 연금, 건강보험, 장기요양, 고용보험 해당 여부, 소득세·지방세
- - 5단계 연간화: 명절휴가비, 성과상여, 정근수당, 교원성과급 등 비월별 항목을 12개월로 환산해 월평균 총보수 추정
- - 6단계 시나리오 검증: 시간외 0시간-보통-성수기 3케이스로 민감도 분석
- - 7단계 예산편성 연동: 부서·학교 단위로 인원×월평균총보수×12개월 산식 적용



주의 포인트 - 세무·보험
- 소득세: 근로소득 간이세액표 기준이나 연말정산 결과에 따라 환급·추징
- 건강보험: 매년 상반기 보수총액 신고에 따른 하반기 조정
- 연금: 공무원연금·군인연금·사학연금 각 제도별 요율 상이
- 가족수당: 혼인·출산·자녀 연령 변동 시 반드시 시스템 업데이트



11월 시점 실무 타임라인 - 무엇을 준비할까
- 11월: 정부안 기준 초안 편성, 인건비 총액·정원·시간외 운영계획 확정
- 12월: 국회 심의 동향 반영, 내부예산 잠정 확정, 인사 변동 가능성 체크
- 1월 초: 보수규정 개정 공포 확인, 봉급표 최종 반영, 1월 급여 소급정산
- 1분기: 정근수당·성과상여 지급월 반영, 연간 현금흐름 계획 수립
- 상시: 인사이동·승진·승급 발생 시 개별 급여 시뮬레이션 재계산






자주 묻는 질문 요약
Q1. 3.5%는 모든 사람에게 동일하게 적용되나요?
- 기본적으로 전 직급·호봉 동일률 인상이 원칙입니다. 다만 저연차 처우 개선, 특정 수당 단가 인상 등으로 체감 인상률은 사람마다 달라집니다.
Q2. 1월 확정 전에 임용·승진하면?
- 정부안 기준으로 임시 반영되며, 1월 확정 후 차액을 소급 정산합니다.
Q3. 시간외 단가는 얼마나 오르나요?
- 기본급 상승분이 단가에 반영되고, 감액조정률 상향 시 총액이 더 커질 수 있습니다. 정확한 단가는 확정 고시 후 시스템 단가로 확인하십시오.
Q4. 교원 방학 중 수당은?
- 교직수당 등 고정 항목은 월별 동일하게 반영되나, 방과후·특별활동 등 변동성 항목은 학기 운영계획에 따라 달라집니다.
Q5. 병 봉급은 어디서 보나요?
- 병 봉급은 병영봉급 별도 고시로 확정됩니다. 1월 공포 이후 최신 금액을 확인해 반영하십시오.






결론
2026년 보수의 방향성은 ‘기본급 3.5% 인상’과 ‘현장 체감도 개선’입니다. 일반직은 구간상승과 유리한 호봉 원칙을 유지하면서 저연차 보정으로 초기 진입자의 처우를 높이고, 경찰·소방은 현장근무 특성에 맞춘 위험·특수 가산체계를 통해 실수령 개선을 유도합니다. 군인은 계급·호봉·병과·작전 여건에 따른 가산 구조가 핵심이며, 교원은 장기 호봉체계 속에서 담임·보직·지역·성과 요소가 실수령을 좌우합니다.



11월 시점에서는 정부안 기준으로 개인·조직의 예산과 연간 현금흐름을 미리 설계하고, 1월 초 보수규정 개정 공포 직후 확정표로 교체해 소급정산과 단가 업데이트를 한 번에 처리하는 것이 최적의 운영 전략입니다. 실무자는 ‘기본급-수당-공제’ 3단 계산과 연간화 시뮬레이션을 습관화하고, 인사 이벤트와 근무패턴 변동에 따른 민감도 분석을 통해 개인 재무계획과 부서 예산의 불확실성을 줄이시기 바랍니다. 마지막으로, 본문에 정리한 대표 구간값을 기준으로 개인별 수당구조를 얹어 월평균 총보수와 실수령을 구체적으로 만들어 보시면, 2026년 1분기부터의 실제 체감 변화를 보다 정확히 예측할 수 있습니다.



'경제, 부동산, 주식' 카테고리의 다른 글
| 국민연금 수령시 건강보험료 2026년 건보료 인상, 부과기준 (0) | 2025.11.25 |
|---|---|
| 제주 2 공항 예정지 위치 토지거래 제한 11년째 (0) | 2025.11.18 |
| 18k금시세 1돈 오늘 금값 가격 (0) | 2025.10.29 |
| 휴림로봇 주가 목표 전망 (0) | 2025.10.23 |
| 생애최초주택구입 취득세 면제 제도 (0) | 2025.08.19 |